コンプリート! bmi 17.7 915053-Bmi 17 7 mann
Briefly, the estimation of BMI involves the use of formulas that require the measurement of a person's height and weight Given BMI, the following formulas can be used to estimate a person's body fat percentage Body fat percentage (BFP) formula for adult males BFP =5'0" / 90lbs / BMI 17,7 (Photo) Asked By Neat7081 in Europe Hi, since my weight is very low I wondered If I could still be a candidate for skinny BBL I've tried gaining weight but I just don't seem to increase in weight and neither am I anorexic My goal is to create more of a hipBody mass index or BMI measures the relationship between the height and weight Its a way to evaluate whether a person is of normal weight, overweight or underweight The healthy range for BMI is if you are lower than 185 you are considered as underweight
Bmi 19 6 23 8 19 6 29 1 25 2 21 4 22 0 27 5 33 5 6 29 9 17 7 24 0 28 9 37 7 18 3 19 8 29 8 29 7 31 7 23 8 44 9 19 2 28 7 28 5 19 3 31 0 25 1 22 8 30 9 26 5 21 2 40 Study Com
Bmi 17 7 mann
Bmi 17 7 mann-My BMI is 177, I can't eat very much in one sitting, can Fittit help me can some healthy weight?Detailed info about your BMI Your Body Mass Index (BMI) is 177 Kg/m 2This means your weight is within the underweight range Your current BMI is lower than the recommended range of 185 to 27 To be within the right range for your height, your ideal weight should be between 1044 and 1524 pounds It's important to aim to keep within your healthy weight range



تويتر ゆゆ Diet美容垢 على تويتر 最近の体型変化 164cm 8 6 48 6kg 21 6 Bmi 18 1 8 48 4kg 21 3 Bmi 18 9 3 48 2kg 19 8 Bmi 17 9 9 18 47 7kg 19 0 Bmi 17 7 ここ大体1ヶ月ちょっとの変化です がりがりにはなりたくないから とても
Steps to Plot BMIforage 1 Select appropriate growth chart 2 Measure standing height accurately 3 Measure weight accurately 4 Determine BMI value 5 Determine BMIforage percentile 6 Record BMI percentile on PM 160 7 Determine weight categoryBody Mass Index is a very simplistic method of determining whether a person is overweight It does not taken into account a person's frame, gender, or muscularity Furthermore, at least one study has suggested that slightly overweight people may live longer than people in the "normal" rangeCalculate Your Body Mass Index Body mass index (BMI) is a measure of body fat based on height and weight that applies to adult men and women View the BMI tables or use the tool below to compute yours Enter your weight and height using standard or metric measures Select "Compute BMI" and your BMI will appear below
BMI 177 Underweight Genetic?With a BMI of 17, your body weight is considered too low to be healthy A person may be underweight due to metabolism, lack of food, genetics, or illness Being underweight is associated with certain medical conditions, including hyperthyroidism, cancer, or tuberculosisBMIforage BOYS 5 to 19 years (zscores) Year Month Months 3 SD 2 SD 1 SD Median 1 SD 2 SD 3 SD 12 7 151 136 147 161 179 4 243 310
How to interpret your BMI Healthy weight Under 25 Overweight 25 to 299 Obese 30 or more Based on the National Academy of Sciences 02 Energy Recommendations for Adults Between to 50 percent of your daily caloric needs are determined by physical activity The remainder are burned through basic body functions such as breathing A BMI of 25 is ideal;The computer calculates the BMI and arranges the results according to age and gender according to the BMI tables for children, adolescents and adults and displays the result graphically BMI 177 BMI classification for a BMI of 177



Softlaurel Body Check Bmi Is 17 7



Geriatrics Free Full Text How Overweight And Obesity Relate To The Development Of Functional Limitations Among Filipino Women Html
BMI is the internet leader in go kart tires We sell all styles of tires from turf, knobby, studded, racing slicks and more!BMI 1 2 3 BMI TABLE FOR CHILDREN AND ADOLESCENTS The Body Mass Index (BMI) value has HOW TO USE THIS TABLE been calculated and is presented in this table for selected heights and weights for children and adolescents 2 to years of age BMI is defined as weight in kilograms divided by height in meters squared US Department of Health and Adult BMI Calculator This calculator provides body mass index (BMI) and the corresponding BMI weight status category for adults years and older For children and teens, 2 through 19 years, use the BMI Calculator for Children



Unhealthy Or Simply Skinny Yale Student Shares Bmi Ordeal



High Body Mass Index Is Not Associated With Increased Treatment Failure In Infliximab Treated Pediatric Patients With Inflammatory Bowel Disease Rodin Jgh Open Wiley Online Library
A BMI between 242 and 248 would be at the high end of the range, depending on the boy's age in Sorry for the late reply I do actually think that you should remove NaHaeun, and yes, some of the girls in rookie groups like Dreamnote or LOONA are 1718 years old, while "adult" BMI applies to people older than 19, i believeThe American Dietetic Association (ADA) defines the ideal body mass index (BMI) as between and 25 Thus, anyone below that range would be considered underweight and those with a BMI from 185 to 175 extremely underweight



Naomi Campbell In Her Own Words



Body Mass Index Illustration Female Figure Stock Illustration Illustration Of Index Medical
Severely underweight Less than 16 Underweight 16 to 185 Healthy Weight 185 to 25 Overweight 25 to 30 Obese More than 30 Note that BMI does not take frame size orArchive View Return to standard view last updated – posted 15May17, 603 pm AEST posted 15May17, 603 pm AEST User # 23 posts calvinklein I'm new here, please be nice reference whrlpl/Reikx6 posted 15May7,We are buying tires in mass quantities allowing us to pass the savings to our customers



Bmi 19 6 23 8 19 6 29 1 25 2 21 4 22 0 27 5 33 5 6 29 9 17 7 24 0 28 9 37 7 18 3 19 8 29 8 29 7 31 7 23 8 44 9 19 2 28 7 28 5 19 3 31 0 25 1 22 8 30 9 26 5 21 2 40 Study Com



ゆゆ Diet美容垢 Twitterissa 最近の体型変化 164cm 8 6 48 6kg 21 6 Bmi 18 1 8 48 4kg 21 3 Bmi 18 9 3 48 2kg 19 8 Bmi 17 9 9 18 47 7kg 19 0 Bmi 17 7 ここ大体1ヶ月ちょっとの変化です がりがりにはなりたくないから とても緩やかに
A BMI between 25 to 299 is considered overweight and a BMI of 30 and higher is considered obesity However, exceptions do exist for all these rangesBMI Calculator for Kids For children and teens, a high Body Mass Index can lead to weightrelated diseases, while being underweight can also put a child at risk of health issuesUnlike adults, in children and teens BMI is age and genderspecific After the BMI is calculated, it is expressed in relation to a percentile a child fits intoMethods In the current report, the consensus definition for cachexia incorporated weightloss > 5% in 12months or low BMI in addition to 3/5 of decreased muscle strength, fatigue, anorexia, low FFMI and inflammation The weightloss definition incorporated weightloss > 5% or weightloss > 2% (if low BMI) in 12months



Obesity And Cancer Treatment Outcomes Interpreting The Complex Evidence Clinical Oncology



Calculating Your Child S Bmi
ICD10CM Diagnosis Codes Z68* Z68 Body mass index BMI Z681 Body mass index BMI 199 or less, adult Z6 Body mass index BMI 29, adult Z60 Body mass index BMI 09, adult Z61 Body mass index BMI ,Need cheap tires, BMI is place to shop! Participants' height and weight were measured using a Cardinal Detecto Physicians' Scale (Model No 439, Serial No E, registered to the ISO 9001 Quality Standard) without shoes and in light clothing The range of BMI was



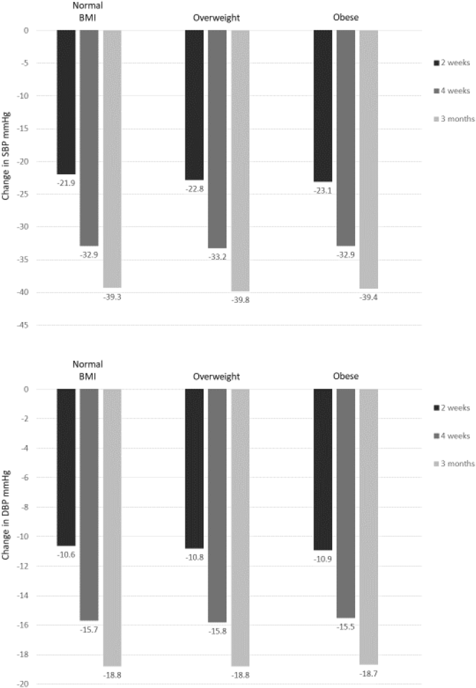
Antihypertensive Effectiveness Of Perindopril Arginine And Indapamide Single Pill Combination According To Body Mass Index Findings From The Forsage Study Springerlink



The World According To Lady Bren Tell Me What You Think
Answer (1 of 2) First of all stop checking your BMI, it's already proven uselsss in all the research studies, even the person who invented BMI said himself that it not correct, read the studies if you find them or reply to this answer i will provide you So you don't have to worry what your weiMy BMI is 177, but my body fat percentage is %, which is normal for males of my age Help Close 9 Posted by 1 year ago Archived My BMI is 177, but my body fat percentage is %, which is normal for males of my ageFor adults aged and older, a BMI less than 185 is low, and puts you in the danger zone A number between 185 and 249 is a normal BMI;



Omronscale Instagram Posts Photos And Videos Picuki Com



A Body Shape Index And Body Roundness Index Two New Body Indices To Identify Diabetes Mellitus Among Rural Populations In Northeast China Bmc Public Health Full Text
BMI Chart Feet/Inches & Stone This chart is suitable for very overweight (obese) people whose BMI value falls within the range 36 54 If your weight is less than that listed try our other chart A BMI between the 5th and 85th percentile is considered healthy for children and teens With each additional month of age, the healthy BMI range increases slightly For a 16yearold boy, this means a BMI between 171 and 177 would be at the low end of the healthy range;In fact, among women and men with BMI < 25 kg/m 2, Li et al report a crude percent body fat of 340 and 227%, respectively In contrast, in a small study of whites in Switzerland, percent body fat in women and men with normal BMI were 253 and 177%, respectively



Body Mass Index Trajectories Of Indigenous Australian Children And Relation To Screen Time Diet And Demographic Factors Thurber 17 Obesity Wiley Online Library



Naomi Campbell Sashays Down The Runway Like A Pro At Fashion For Relief Show Daily Mail Online
Page 1 of 2 BMI 177 posted in Anorexia Discussions I just found out my BMI is 177 I cannot wait to start heavily restricting again I feel so massive I want a really low BMI like 16 but NO MATTER HOW MUCH I RESTRICT I LOOK FAT Seriously My thighs are massive, my chest is wayyyyyy too large, I think I have a double chin All this at 177BMIforage BOYS 5 to 19 years (percentiles) Percentiles (BMI in kg/m2) Year Month Month L M S 1st 3rd 5th 15th 25th 50th 75th 85th 95th 97th 99th 5 1 61 0090 127 131 134 140 144 153 162 167 177 181 1 5 2 62 0BMIforage GIRLS 5 to 19 years (zscores) Zscores (BMI in kg/m2) Year Month Month L M S 3 SD 2 SD 1 SD Median 1 SD 2 SD 3 SD 11 4 136 0128 129 140 155 175 2 241 308 11 5 137 143 129 141 156 175 2 242 309 11 6 138 1760 129 141 156 176 3 243 311 11 7 139 142 130 142



Top Models Body Mass Index Health Red Alert Luxury Activist



Effect Of Body Mass Index On Ischemic And Bleeding Events In Patients Presenting With Acute Coronary Syndromes From The Start Antiplatelet Registry American Journal Of Cardiology
Calculate Sara's BMI using the BMI LookUp Table for Children and Adolescents 5–18 Years of Age (85–114 cm tall) a Find Sara's weight in the horizontal column at the bottom (round 1 kg to the nearest whole number, or 19 kg)The data 177 335 263 229 214 e 2 242 1 279 212 192 377 374 presents the body distribution for females Constru y mass index (BMI) values beginning with a lower class limit of 150 and use a class width of 60 286 449 312 256 253 Body Mass Index Body Mass Index Frequency Frequency 1509 3303 She is 5 foot 9, and is a little less than 1 pounds This makes her Body Mass Index (BMI) about 177, far too underweight Underweight BMI's are 185 or less Alessandra Ambrosio is 5 foot 95, and weighs 112 pounds, making her BMI 163, extremely underweight and unhealthy



Ppt Stemming The Tide Obesity Prevention And Treatment In Primary Care Pediatrics Powerpoint Presentation Id



公式 サロン集客の達人 さんのインスタグラム写真 公式 サロン集客の達人 Instagram Repost From Detox Danzikigal ファスティングの記録 タニタの体組成計 体重 41 0kg Bmi 17 3 体脂肪 17 7 筋肉量 31 8kg 内脂肪 1 0レベル 基礎代謝量
However, according to measured data the corresponding rates were 75% and 177%, respectively Linear regression for BMI difference showed significant differences according to measured weight status BMI was overestimated by underweight adolescents and underestimated by overweight adolescentsUGW 75 lbs CW 94 lbs SW 127 lbs 🌺 thinspo sweetspo 🌺 🌿 you wake up and look outside your window hearing the rain patter away, the view is really pretty with the way the leaves have turned orange and falling to meet the ground, you get out of bed feeling light headed and catching yourself before you faint "the hard work is paying off!"The following major models for Victoria's secret are severely underweight Adriana Lima, with a BMI of 176 Candace Swanepoel, with a BMI of 177 Alessandra Ambrosio, with a BMI of 163 Lais Ribeiro, with a BMI of 166 Doutzen Kroes, with a BMI of 179 Behati Prinsloo, with a BMI of 171 Kate Moss, with a BMI of 168 Miranda Kerr, with a BMI of



I Question Help The Data Represents The Body Mass Chegg Com



Assessing Child Growth Using The Body Mass Index Bmi For Age Growth Charts A Training For Health Care Providers Adapted By The Chdp Bay Area Nutrition Ppt Download
177% Body Fat Women Body fat plays a significant role in reproduction Sex hormones are fat soluble and they are stored in the body's fat layers Women that have a low body fat produce a reduced amount of estrogen which can lead to an abnormal menstrual cycle, Amenorrhea, or the lack of a menstrual cycle BMI prime is a number that results from comparing your actual BMI with the normal BMI or healthy BMI, which is supposed to be below 25 By dividing your BMI by the reference value of 25 ( healthy BMI for men), you obtain your BMI prime BMI prime will be a number hopefully very close to one, since that is the ideal number we should strive for2530 is overweight and over 30 is obese If your BMI is under 185, you're considered underweight If your BMI is 185, you're a bit underweight and can't afford to lose more



Bmi Body Mass Index Skillsyouneed



Anyone With Bmi 17 18 Able To Share Pics Anorexia Discussions Forums And Community
That being said, a BMI below 175 in adults is one of the common physical characteristics used to diagnose anorexia There are also different tiers of anorexia based on BMI ranging from mild (The novel BMI1 inhibitor PTC596 downregulates MCL1 and induces p53independent mitochondrial apoptosis in acute myeloid leukemia progenitor cells Blood Cancer J 17 Feb 17;7(2)e527 doi /bcj178I am 5 foot 7 inches and weigh around pounds I ideally want to



Unleashed The Ripple Effect When Models Say Skinny We Jump



Super Models Images Search Images On Everypixel
With a BMI of 177, your body weight is considered too low to be healthy A person may be underweight due to metabolism, lack of food, genetics, or illness Being underweight is associated with certain medical conditions, including hyperthyroidism, cancer, or tuberculosisBMIforage BOYS 5 to 19 years (percentiles) Year Month Months 3rd 15th Median 85th 97th 15 1 181 162 176 198 229 264 15 2 1 163 177 199 230 265These percentiles are based on the growth charts published by the Centers for Disease Control and Prevention (CDC) Codes Z68 Body mass index BMI Z681 Body mass index BMI 199 or less, adult Z6 Body mass index BMI 29, adult Z60 Body mass index BMI 09, adult Z61 Body mass index BMI , adult



Bmi Calculator Body Mass Index



Mean Body Mass Index Bmi Values By Age And Sex Download Table
Am I able to have a skinny BBL?



Body Mass Index Cut Offs To Define Thinness In Children And Adolescents International Survey The Bmj



The Impact Of Maternal Bmi Gestational Weight Gain And Breastfeeding On Early Childhood Weight Analysis Of A Statewide Wic Dataset Sciencedirect



Survival Versus Age Gender Speci Fi C Body Mass Index Ag Bmi Download Scientific Diagram



Softlaurel Body Check Bmi Is 17 7



Ten Year Mortality And Revision After Total Knee Arthroplasty In Morbidly Obese Patients The Journal Of Arthroplasty



Article Medicale Tunisie Article Medicale Cirrhosis Malnutrition Anthropometry Prognosis



私太ってる 女性が綺麗に見えるbmiはこれ ウーマンエキサイト 1 4



I M 5 3 100 5 Lbs 14 7 Body Fat 17 7 Bmi I M A Figure



What Are The Qualities To Become A Super Model Obly Studio



Assessing Child Growth Using The Body Mass Index Bmi For Age Growth Charts A Training For Health Care Providers Adapted By The Chdp Bay Area Nutrition Ppt Download



The Scottish Health Survey 1998 Volume 1 Chapter 13 Page 1



Life Expectancy After Bariatric Surgery In The Swedish Obese Subjects Study Nejm



Tackling Overweight And Obesity In The School Setting British Journal Of School Nursing



Body Mass Index



Naomi Campbell Page 712 The Fashion Spot



Bmi Calculator Body Mass Index



High Body Fat Percentage With Normal Bmi Increases Osteoporosis Sarcopenia Risks



Bmi Calculator Body Mass Index



تويتر ゆゆ Diet美容垢 على تويتر 最近の体型変化 164cm 8 6 48 6kg 21 6 Bmi 18 1 8 48 4kg 21 3 Bmi 18 9 3 48 2kg 19 8 Bmi 17 9 9 18 47 7kg 19 0 Bmi 17 7 ここ大体1ヶ月ちょっとの変化です がりがりにはなりたくないから とても



Maternal And Infant Prediction Of The Child Bmi Trajectories Studies Across Two Generations Of Northern Finland Birth Cohorts International Journal Of Obesity



2



Weight Change Among Women Using Intramuscular Depot Medroxyprogesterone Acetate A Copper Intrauterine Device Or A Levonorgestrel Implant For Contraception Findings From A Randomised Multicentre Open Label Trial Eclinicalmedicine



Top Models Body Mass Index Health Red Alert Luxury Activist



Ideal Body Fat Percentage Chart Ideal Body Fat For Men And Women Fitnescity Fitness Lab Testing Body Composition Assessments



Obesity Sex Race And Early Onset Hypertension Hypertension



Core Ac Uk



Natalia Daniela Blm Anok Yai Height 178cm 5 10 Weight 54kg 119lbs Bmi 17



Rising Rural Body Mass Index Is The Main Driver Of The Global Obesity Epidemic In Adults Nature



Naomi Campbell Fall High Resolution Stock Photography And Images Alamy



Bmi Chart Kgs M2 For Use With The Weight Management Treatment Algorithm Icgp Download Printable Pdf Templateroller



Is Your Weight 53 Kg And Height 173 Kg Bmiok Com



Meet The Slim Women Abused About Their Weight By Being Called Anorexic And Mocked For Having No Boobs



Bmi Calculator For Runners Calculate Your Bmi Healthy Ranges



Association Of Body Mass Index Bmi With Critical Covid 19 And In Hospital Mortality A Dose Response Meta Analysis Metabolism Clinical And Experimental



Solved The Table Below Gives A Person S Body Mass Index Chegg Com



5 519 Paul Campbell Photos And Premium High Res Pictures Getty Images



Campaigners Call For Minimum Bmi Rule To Be Implemented To Stop Models Starving Themselves Daily Record



4 Ways To Calculate Your Body Mass Index Bmi Wikihow



2



Anyone With Bmi 17 18 Able To Share Pics Anorexia Discussions Forums And Community



Bmi Calculator And Waist To Hip Ratio Calculator Bmi Calculator



Ten Year Mortality And Revision After Total Knee Arthroplasty In Morbidly Obese Patients The Journal Of Arthroplasty



Bmi Calculator Check Your Body Mass Index Patient



Naomi Campbell Almost Missed Her Own Fashion Show



Shows A Distribution Of Men By Bmi And Psa For The Whole Cohort Table Download Scientific Diagram



Bmi 17 2



My Weigh 100lb And Have A Bmi Of 17 7 So I M Naturally Underweight But I Secretly Want To Drop 3lbs I M Not Anorexic But Want To Prove I Can Do It Why



5 3 And 100 Pounds What S My Bmi Male And Female Ideal Weight



Is Having A Bmi Of 17 2 Extremely Dangerous Quora



This Chart Shows How People With The Same Bmi Body Mass Index Can Look Completely Different Independent Ie



Naomi Campbell Fashion Relief Runway High Resolution Stock Photography And Images Alamy



Beta 3 Adrenergic Receptor Rs4994 Polymorphism Is A Potential Biomarker For The Development Of Nonalcoholic Fatty Liver Disease In Overweight Obese Individuals



The Use Of A 3d Avatar To Determine The Association Between Actual And Perceived Body Mass Index Medcrave Online



Obesity And Laboratory Aspirin Resistance In High Risk Pregnant Women Treated With Low Dose Aspirin American Journal Of Obstetrics Gynecology



Vodafone Ie Bmi Score 177 Your Bmi Is 177 Which Means You Are Classified As 100 1714 A Tdeecalculatornet Underweight People Who Use This Amazingly Simple Tool Attention Lose Significantly More Weight



Celebrity Sightings



Is 5 6 168 Lbs Overweight For A Teenage Girl Quora



人気ダウンロード Bmi 165 今年の良い壁紙の言葉qhd



Distinct Body Mass Index Trajectories To Young Adulthood Obesity And Their Different Cardiometabolic Consequences Arteriosclerosis Thrombosis And Vascular Biology



U S Obesity Rate Inches Up To 27 7 In 14 Sharecare



Prevalence Of Overweight Obesity Abdominal Obesity And Obesity Related Risk Factors In Southern China



Answered The Data Represents The Body Mass Index Bartleby



Diagnostics Free Full Text Colonic Volume Changes In Paediatric Constipation Compared To Normal Values Measured Using Mri Html



Candice Swanepoel Victoria Secret Fashion Show Victoria Secret Fashion Victoria Secret Runway



Trends In Body Mass Index In Developing Countries



Homework Homework 1 Score 0 2 Of 1 Pt 2 1 11 17 7 Chegg Com



Bmi 19 6 23 8 19 6 29 1 25 2 21 4 22 0 27 5 33 5 6 29 9 17 7 24 0 28 9 37 7 18 3 19 8 29 8 29 7 31 7 23 8 44 9 19 2 28 7 28 5 19 3 31 0 25 1 22 8 30 9 26 5 21 2 40 Study Com



2



Influences Of Genetics Lifestyle And Environment On Obese And Non Obese University Students In Malaysia Springerlink



What Does 17 7 Bmi Look Like



What Do I Look Like I Weigh Bmi Anorexia Discussions Forums And Community



This Chart Shows How People With The Same Bmi Body Mass Index Can Look Completely Different Independent Ie
コメント
コメントを投稿